Всего вопросов: 6

Проверка знаний

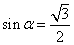
Вопрос 1. Найдите , если

Вопрос 2. В прямоугольном треугольнике один из катетов равен 10 см, а противолежащий угол равен 500. Найдите противолежащий угол другому катету.

Вопрос 3. В прямоугольном треугольнике один из катетов равен 12 см, а прилежащий к нему угол равен 420. Найдите значение гипотенузы с точностью до целых.

Вопрос 4. В прямоугольном треугольнике гипотенуза равна 24 см, а один из углов равен 350. Найдите разность катетов с точностью до целых.

Вопрос 5. В прямоугольном треугольнике катеты равны 12 см и 15 см. Найдите разность градусных значений (без учета минут) острых углов треугольника.

Вопрос 6. Насыпь шоссейной дороги имеет в верхней части ширину 60 м. Какова ширина насыпи в нижней ее части, если угол наклона откосов к горизонту 600, а высота насыпи равна 12 м.