Всего вопросов: 10

Проверка знаний

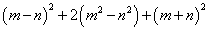
Вопрос 1. Разложите многочлен на множители:

Вопрос 2. Разложите многочлен на множители:

Вопрос 3. Разложите многочлен на множители:

Вопрос 4. Разложите многочлен на множители:

Вопрос 5. Разложите многочлен на множители:

Вопрос 6. Разложите многочлен на множители:

Вопрос 7. Разложите многочлен на множители:

Вопрос 8. Разложите многочлен на множители:

Вопрос 9. Разложите многочлен на множители:

Вопрос 10. Разложите многочлен на множители: