Всего вопросов: 10

Проверка знаний

Что необходимо повторить:

Математические действия со степенями
Физические величины


Вопрос 1. Какая единица времени t является основной в СИ?

1 ч
1 c
1 м/с
1 сут
1 мин

Вопрос 2. В каких единицах измеряется импульс в СИ? Если формула импульса

1 Дж
1 кг
1 Н

Вопрос 3. Выберите размерность мощности, выраженную через основные единицы СИ. Если формула работы , мощности

Вопрос 4. Перевести скорость v=3000 км/с в единицы СИ

Вопрос 5. Перевести t=30 мин в единицы СИ

1800с
0,5 с
108000 с
30 мин
0,5 ч

Вопрос 6. Перевести в единицы СИ момент силы

Вопрос 7. Перевести в СИ V=1 см3

Вопрос 8. Тело движется равномерно и прямолинейно со скоростью v=54 км/ч. Чему равна скорость тела, выраженная в м/с

15 м/с
0,015 м/с
900 м/с
54 000 м/с
54 м/с

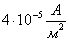
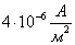
Вопрос 9. Перевести в единицы СИ плотность тока i=0,004 А/cм2

Вопрос 10. Перевести массу протона в кг, если , а